-
- 1.1 Ашылу тарихы
- 1.2 Вольфрам мен молибденнің физикалық және химиялық қасиеттері, қолдану саласы
- 1.3 Вольфрамның өндірістік шикізаттары
- 1.4 Вольфрам концентраттарын өңдеу. Вольфрам үшоксидінің өндірісі
- 1.5 Молибденнің өндірістік шикізаттары
- 1.6 Молибден концентраттарын өңдеу. Молибден үшоксидінің өндірісі
- 1.7 Металдық вольфрам мен молибден ұнтақтарын өндіру
- 1.8 Ұнтақты металлургия әдісімен тұтас металдық вольфрам және молибден алу
- 1.9 Молибден мен вольфрамды балқыту
- 1.10 Вольфрам мен молибденді қысыммен өңдеу
-
- 4.1 Жалпы мәліметтер
- 4.2 Титан, цирконий және гафнийдің қолдану салалары
- 4.3 Титанның химиялық қосылыстарының өндірісі
- 4.4 Титан диоксиді өндірісі
- 4.5 Цирконий мен гафнийдің химиялық қосылыстарын өндіру
- 4.6 Кеуекті және ұнтақ тәрізді титан, цирконий және гафний өндірісі
- 4.7 Тұтас металдық титан және цирконий өндірісі
-
- 5.1 Ашылу тарихы
- 5.2 Ренийдің қасиеттері
- 5.3 Ренийдің шикізат көздері
- 5.3.1 Ренийдің дәстүрлі емес шикізаттары
- 5.4 Сульфидті молибденит концентраттарын өңдеуде ренийдің таралуы
- 5.5 Сульфидті мыс концентраттарын өңдеуде ренийдің таралуы
- 5.6 Ренийді қайтармалы шикізаттар мен техногенді өнімдерден бөліп алу
- 5.6.1 Ренийді техногенді өнімдерден бөліп алу әдістері
- 5.6.2 Ренийді қолданыстан шыққан немесе жарамсыз катализаторлардан бөліп алу әдістері
- 5.6.3 Ренийді ренийқұрамды қорытпалардан бөліп алу
- 5.7 Ренийді ерітінділерден бөліп алу технологиясы және аммоний перренатын алу
- 5.8 Ұнтақты және тұтас металдық рений өндірісі
Мазмұны
5.7 Ренийді ерітінділерден бөліп алу технологиясы және аммоний перренатын алу
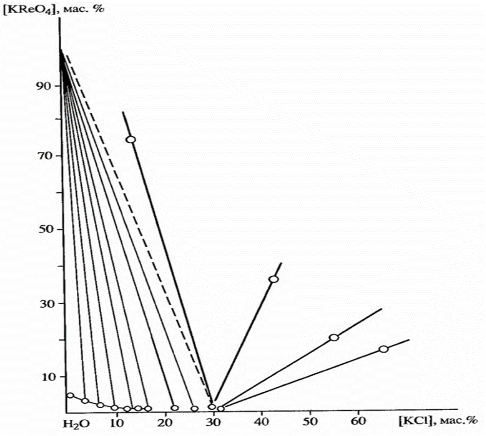
хлориді мен калий перренатының ерітінділерінен кристалдануға сәйкес келетін екі тармақтан тұрады. Барлық концентрация аралығындағы тепе-теңдік қатты фазалар калий хлориді және калий перренаты болып табылады. Бұл жүйедегі айрықша ерекшелік - калий хлоридінің қатысында калий перренатының ерігіштігінің күрт төмендеуі, бұл ренийді тұнбалаушы күшті реагент.
Сондықтан калий перренатын тұнбаға толық бөлу үшін калий хлоридінің мөлшері артығымен алынады, ерітіндідегі концентрациясын 40-50 г/л болуы керек. Пульпаны 10-12 ℃ дейін салқындатылады. Тұнбалаудан қалған ерітіндіде ренийдің орташа мөлшері 0,4-0,5 г/л аспауы керек, ренийдің калий перренаты кристалдарына тікелей бөлінуі 95-97 % құрайды. Алынған калий перренатының құрамында 62-64% рений бар (стехиометриялық құрамы 64%).
Егер тұндырылған калий перренатында рений < 60% болса, онда ол қайта кристалданады. Қайта кристалдану операциялары қажет болған жағдайда бірнеше рет қайталануы мүмкін. Қайта кристалдану процесі температураның осы тұздың ерігіштігіне әсеріне негізделген және практикалық қиындықтар тудырмайды. Бұл жағдайда рениймен қаныққан ыстық ерітіндіні сүзу кезінде ерітінді салқындап қалмауы керек, бұл калий перренатының мерзімінен бұрын кристалдануына әкелуі мүмкін. Калий перренатының тұндыру ерітінділері және оның қайта кристалдану ерітінділері айналымда болады, сондықтан бұл операцияда ренийдің жоғалымы аз.

Қайта кристалданған калий перренаты этил спиртімен жуылады. Спиртпен жуу калий перренатының кристалдарын органикалық қоспалардан жақсы тазартуға және рений тұзын кейінгі кептіру жағдайларын жақсартуға мүмкіндік береді.
Калий перренатының тұндырғыштары ретінде калий сульфатын, поташ, каустикалық калийді немесе осы реагенттердің қоспаларын қолдануға болады. Қолданылатын тұндырғыштың түрі калий перренатын тұндыруының толықтығына аз әсер етеді, әдетте тұндыру көрсеткіші 98-99 %.
Ренийдің тұнбаға өту дәрежесіне негізінен оның бастапқы ерітіндідегі концентрациясы әсер етеді. Ерітіндідегі рений концентрациясы 35-тен 2 г/л-ге дейін азайған кезде, тіпті тұндырғыштың мөлшері жеті есе артық болса да, тұнбаға өту мөлшері 99,7-ден 56% - ға дейін төмендейді. Үш есе артық мөлшерінде бұл мәндер 99,3 тен 14,9 % -ға төмендейді. Сондықтан рений < 10 г/л ерітінділерден калий перренаты түрінде ренийді тұндыру мүмкін емес, өйткені бұл тұнбалаудан қалған ерітінділермен металдың негізсіз үлкен жоғалымына әкеледі.
Бай ерітінділерден ренийді калий перренаты түріндегі тұндыру процесі өте селективті, ілеспе қоспалардың көпшілігіне (молибден, вольфрам, мыс, кальций және т.б.) сезімтал емес, аппараттық және реагенттік жағынан қарапайым. Алайда қазіргі уақытта аммоний перренатын тікелей алудың технологиялық схемаларын енгізуге байланысты аралық өнім ретінде калий перренатын тұндыру айтарлықтай аз қолданылады.
Ренийді ерітіндіден буландыру және ректификациялау арқылы бөліп алу.
Аммоний немесе кальций перренаты ерітінділерінен аммоний немесе калий перренатын тұндырмас бұрын, ренийді концентрлеу мақсатында осы ерітінділерді буландырады.
Булану арқылы ренийдің тұнбаға бөлінуін арттыру үшін ерітінділерге тұндырғыш тұздар (аммоний хлориді, калий сульфаты, калий хлориді және т.б.). жиі қосылады. Алайда, булану кезінде рений тұнбасының сапасына әсер етуші барлық ілеспе қоспалар (молибден, мыс, мышьяк, кремний және т.б.) тұнбада концентрленеді. Сондықтан буландыруды белгілі бір көлемге дейін ғана жүргізу маңызды. Калий перренатын тұндыру үшін ерітінділердегі рений концентрациясы 15-25 г/л жеткенге дейін, ал аммоний перренаты үшін - 35-50 г/л дейін ертініділерді буландырады. Осыған сәйкес буландырылатын ерітінділерде KReO4 тұндыру үшін рений мөлшері 2-5 г/л-ден, ал NH4ReO4 тұндыру үшін 10-15 г/л-ден төмен болмауы керек. Қалай болғанда да, құрамында рений бар ерітіндінің булану дәрежесі 5-7-ден аспауы керек.
Сондай-ақ, ~100 ℃ температурада бейтарап және аммиак ерітінділерінің булануы кезінде сұйықтық тамшыларының механикалық тасымалдануына байланысты газ фазасымен ренийдің аз мөлшері (< 0,05 %) жоғалады.
Қышқыл ерітінділерді буландыру басқаша жүреді. Күкірт қышқылымен салыстырғанда рений оксидінің газ-бу фазасына тез өтеді, сондықтан >300 ℃ температурада күкірт қышқылды ерітінділерді буландыру кезінде HReO4-ті бөліп алуға болады. Сондықтан HReO4-H2SO4 жүйесінен ренийді ректификациялап бөліп алады. Бұл жағдайда текше қалдықта күкірт қышқылының сумен азеотропты қоспасы, ал дистиллятта күкірт қышқылының ең аз қоспасы бар рений қышқылының сулы ерітіндісі түзіледі. Мысалы, құрамында 15-80% күкірт қышқылы, 0,1-2,6 г/л рений бар ерітіндіні ректификациялау кезінде алынған дистиллятта рений концентрациясы 9,2 г/л дейін жетеді, күкірт қышқылы концентрациясы 3,5-5,5 % болады. Ренийдің дистиллятқа бөлінуі 98 % - дан асқан. Ректификация процесінде рений молибден, темір, мыс, натрий, калий, кальций және басқа металдардың қоспаларынан тазартылды.